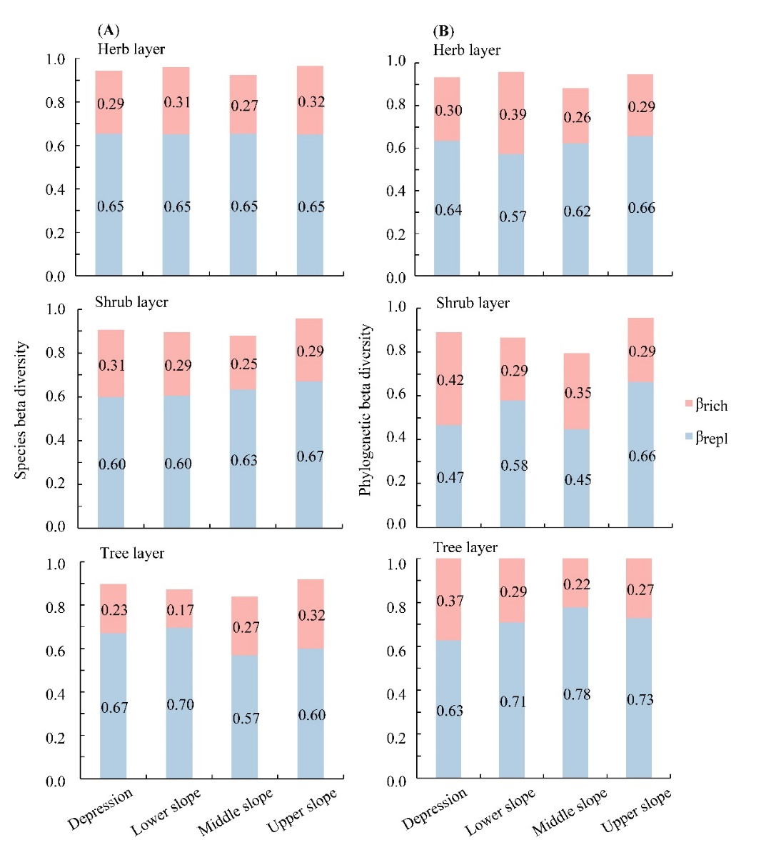
认识生物多样性形成、维持和丧失机制是群落生态学研究的核心内容。 β多样性能够反映群落之间物种组成沿时空或环境梯度的变化格局,其降低可能导致生物同质化和生态系统功能下降。桂西南喀斯特峰丛洼地的生境异质性高,拥有复杂的季节性雨林群落,并蕴藏着丰富的特有和濒危植物。然而,对这一季节性雨林中物种和系统发育β多样性及其限制因素的了解还很少。因此,我们以广西弄岗国家级自然保护区为研究地点,通过野外样地调查和样品分析处理,解析了喀斯特季节性雨林层草本、灌木和乔木层的β多样性及其与环境因素和空间距离之间的关系。研究发现,草本、灌木和乔木层都表现出较高的物种和系统发育β多样性,其中物种更替是主要影响因素。环境过滤和扩散限制是群落构建的重要驱动因素。坡位、土壤磷钾有效性、pH 值和有机质是环境过滤的关键因素。这些发现阐明了喀斯特峰丛洼地中季节性雨林物种和系统发育β多样性的空间格局,为制定喀斯特生态系统森林管理和植被恢复措施提供了科学依据。
近期,该研究成果以“Beta diversity patterns and determinants among vertical layers of tropical seasonal rainforest in karst peak-cluster depressions”为题发表在国际学术期刊《Forests》(中科院2区;JCR1区)。偷拍网
胡刚老师为第一作者,钟朝芳老师为通讯作者,庞庆玲、胡聪、徐超昊和张忠华等参与了研究工作。该研究得到广西自然科学基金项目(2021GXNSFFA196005;2021GXNSFAA196024)、国家自然科学基金项目(31960275;31760128)和弄岗喀斯特生态系统广西野外科学观测研究站的共同资助。
论文链接://sci-hub.tw/10.3390/f15020365

图1. 研究区位置和喀斯特峰丛洼地景观

图 2. 喀斯特峰丛洼地中不同坡位样地和环境因素的非度量多维标度 (NMDS) 排序分析

图 3. 喀斯特峰丛洼地中不同坡位植物物种和系统发育β 多样性及其组分